こんにちは、算数を担当しております佐々木です。
暑い日の連続、真っ只中ですね。

夏バテしないで、勉学に励んでおりますでしょうか。
「勉学」なんて、言葉は聞きたくない!というほど、
毎日勉強していれば、それで良し?
としましょう。
本日は、『計算~びっくりシリーズ第1弾~』と称しまして、
自分がびっくりしてしまう、はたまた、親御さんがびっくり、
そして、講師もびっくり
と、テストや解答を見ていて本当に「びっくり」することがたくさんあります。
それをシリーズ化して、お話を進めていきたいと思います。
まず、本日は、
【計算】でびっくりしてしまうバージョンです。
具体的な問題を出しながら、見ていきましょう。
右の図の斜線部分の面積を求めてみましょう。

三角形の面積は、底辺×高さ÷2
は、知ってますよね。
まず、大方の生徒さんは、
やはり底辺と高さの「長さ」を出そうとします。
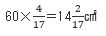
底辺を4㎝としたときの、高さを求めます。
この三角形の全体の面積は、
8×15÷2=60㎠ですね。
それを利用して、
4+13=17㎝を底辺とすると、高さを□㎝とし、
17×□÷2=60
高さを求めると、
![]()
ここでびっくり!!
してしまうんですよ。

そのまま頑張ればいいのですが、
やたらと変な数字がでてしまった。どうしよう。
ということで、途中でやめてしまう生徒さん、いませんか??
つまり、「割り切れない!」と思うと、すぐに自信をなくしてしまって、
「うん??これでいいのかな。。。僕(私)やり方あってるのかな?
もしかすると、他のやり方があるのでは??」と
どんどん、自分のやり方を疑って、自信を失い、他のやり方をまた1から考え出すという
ことに陥ってしまうのです。
そうではなく、このまま、やり方はあっているので、突っ走って欲しいと思います。
その「自信」というのは、日ごろのやはり練習から成り立ちます。
で、問題の続きですが、
そうすると、
を高さとして、
斜線部分は、![]()
となります。
確かに、答えの数字もすっきりした整数ではありません。
しかし、答えが整数とは限らないということを、まず覚えておいて欲しいです。
「思い込み」があると、計算でも、「整数」じゃない、どうしようと
いらぬ心配がでてきて、思わぬミスにつながります。
また、
別解として、
全体の面積のどれだけ?という考え方を使っても解くことができます。

全体は、8×15÷2=60㎠
底辺を4㎝とすると
底辺13㎝の三角形と高さが等しいので、
ア:イ=4:13
となります。
つまり、
全体の面積を4:13に分けた内の4を
求めればいいのです。
![]()
となります。
やり方はわかっているのに、
正答に結び付かないというのは、
もったいないです。
しかし、ミスとはそういうものです。
もったいないけれど、間違ってしまった、ということを認めて、
やはり、次への「やり直し」が必要です。
そういった細かい部分を、しっかりと見せていただき、
一度「戻る」という作業をしていきます。
この「戻る」作業が、なかなか自分でも億劫になるところです。
自分も、なかなか、自分の行動って振り返ることができません。
というか、振り返りたくないです(笑)
また、カリキュラムに則って行われる授業ですと、
振り返っている暇がありません。
そこで、ドクターでは、躓いている部分をちゃんと分析して、
振り返る作業を一緒に致します。
どうぞ、ご不安な点などございましたら、いつでもご連絡ください!!
次回は、『びっくりシリーズ』第2弾をお話ししたいと思います!

